Chat
Ask me anything
Ithy Logo

Les limites de la formule brute pour identifier les benzenoïdes

Comprendre pourquoi la formule brute seule ne suffit pas pour déterminer le nombre exact de cycles benzéniques

chemical structure benzene aromatic cycle

Points Clés à Retenir

  • Information Atomique Limitée : La formule brute donne le nombre total d’atomes dans une molécule, mais pas leur arrangement.
  • Absence de Structure Spécifique : Pour connaître le nombre de benzenoïdes, il faut connaître l’organisation des cycles aromatiques.
  • Analyse Complémentaire Nécessaire : Des outils comme l'indice de déficience en hydrogène et la formule développée sont nécessaires pour analyser l'aromaticité.

Analyse Approfondie de l'Utilisation de la Formule Brute

La formule brute d’un composé chimique présente de manière concise la composition en termes de nombre d’atomes de chaque élément (par exemple, C6H6 pour le benzène). Cependant, cette représentation ne fournit aucune information sur la structure moléculaire, notamment sur la disposition des atomes ou sur les cycles présents dans la molécule. Pour les benzenoïdes, des composés aromatiques contenant le noyau benzénique, il est crucial de connaître l’organisation spatiale pour identifier exactement le nombre de cycles benzéniques.

Limites de la Formule Brute

Le principal inconvénient de la formule brute est qu’elle ne renseigne que sur le nombre et le type d’atomes. Par exemple, la formule C9H12 pourrait correspondre à plusieurs composés aromatiques isomères différents :

  • Elle ne révèle pas la présence d'un cycle benzénique ni la façon dont ce cycle est fusionné ou substitué.
  • Plusieurs isomères structuraux peuvent partager la même formule brute, mais différer par leur arrangement spatial des atomes.
  • Les composés aromatiques, y compris les benzenoïdes, nécessitent une représentation structurale pour identifier la position et le nombre réel des cycles benzéniques.

Le Rôle de la Structure Moléculaire et des Outils Complémentaires

Pour déduire le nombre de benzenoïdes à partir d'une formule brute, il est impératif d'utiliser des méthodes complémentaires :

La Formule Développée

La formule développée, ou semi-développée, fournit une représentation graphique ou textuelle de la liaison entre atomes dans la molécule. Cette représentation permet de :

  • Visualiser les cycles aromatiques (comme le cycle benzénique) qui ne sont pas apparents dans la formule brute.
  • Identifier les positions des substituants et la façon dont les cycles sont connectés, fusionnés ou séparés.
  • Distinguer les différents isomères structuraux partageant la même formule brute.

Indice de Déficience en Hydrogène (IDH)

L’indice de déficience en hydrogène est une méthode quantitative qui permet d’estimer le nombre de cycles et de doubles liaisons dans une molécule. Pour les composés aromatiques comme le benzène, cet indice est très utile :

  • Le benzène, avec la formule C6H6, présente un indice de déficit en hydrogène qui indique la présence d’un cycle aromatique stabilisé par des électrons délocalisés.
  • Ce calcul permet d’inférer qu’un composé avec un indice élevé peut contenir plusieurs cycles ou des liaisons multiples, signalant la possibilité de plusieurs noyaux benzéniques.

En utilisant l’indice de déficience en hydrogène, on peut déterminer le nombre approximatif de cycles. Cependant, cette méthode ne garantit pas, sans information structurelle complémentaire, l’identification précise des benzenoïdes.

Exemple Pratique : Le Benzène et Ses Dérivés

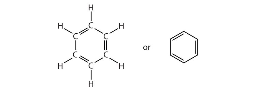
Prenons l'exemple classique du benzène. Sa formule brute, C6H6, ne nous dit rien d'autre que la présence de six atomes de carbone et de six atomes d'hydrogène. Pour comprendre que ce composé est cyclique et aromatique, il faut interpréter ses propriétés avec :

  • La structure cyclique hexagonale caractéristique, révélée par la formule développée.
  • L’arrangement particulier des électrons π délocalisés, démontré par le critère de Hückel (\(4n+2\) électrons, ici \( n = 1 \) pour le benzène).

De la même manière, lorsqu'on considère des benzénoïdes plus complexes ou des isomères possédant la même formule brute mais des arrangements différents, seule une connaissance structurelle précise (par des méthodes spectroscopiques ou de modélisation moléculaire) permet de déterminer le nombre exact de noyaux benzéniques.

Analyse Comparative et Visualisation

Pour faciliter la compréhension des différences entre informations fournies par la formule brute et les informations requises pour identifier les benzenoïdes, considérons le tableau suivant qui synthétise ces différences.

Aspect Formule Brute Représentation Structurelle
Informations fournies Nombre total d'atomes de chaque élément (ex. C6H6) Disposition spatiale des atomes, identification de cycles et de liaisons, positions de substituants
Capacité à identifier les benzenoïdes Non, car elle ne précise pas la structure cyclique Oui, grâce à la visualisation des cycles aromatiques et de la structure globale
Utilisation de l'indice de déficience en hydrogène Peut être calculé, mais reste ambigu sans structure Utilisé conjointement pour déduire le nombre de cycles potentiels
Reconnaissance des isomères Impossible, tous les isomères possèdent la même formule Permet la distinction entre isomères par les arrangements différents

Interprétation Générale

À travers les analyses ci-dessus, il est donc clair que la formule brute, bien qu’essentielle pour établir la composition atomique d’un composé, reste insuffisante pour déterminer le nombre de benzenoïdes présents dans une molécule. En particulier, lorsqu'on cherche à identifier des noyaux aromatiques, on doit poursuivre l'analyse :

  • En recourant à des représentations structurelles : La formule développée ou semi-développée permet de visualiser directement les cycles de benzène et leurs interconnexions.
  • En évaluant l'indice de déficience en hydrogène : Cet indice offre un aperçu sur le nombre de cycles et de doubles liaisons qui existent dans la molécule, ce qui peut suggérer la présence de benzenoïdes.
  • Grâce à des méthodes analytiques complémentaires : Des techniques spectroscopiques et la modélisation chimique sont souvent indispensables pour confirmer l’organisation des cycles aromatiques dans des molécules complexes.

Application Pratique dans la Chimie Organique

Dans le domaine de la chimie organique, il est fréquent que plusieurs isomères partagent la même formule brute. Par exemple, une molécule possédant la formule C9H12 peut correspondre à divers dérivés aromatiques, dont certains contiennent un cycle benzénique unique et d’autres plusieurs cycles fusionnés ou liés à des chaînes latérales. Sans visualisation structurale, il est impossible de savoir quel est le nombre exact de noyaux aromatiques présents, et donc de préciser le nombre de benzenoïdes.

Pour résumer, si vous disposez uniquement de la formule brute d’un composé, vous pouvez déterminer la composition atomique (par exemple, combien de carbone et d’hydrogène sont présents), mais vous ne saurez pas s’il existe un cycle benzénique, ni combien il y en a dans le cas d’un composé potentiellement aromatique.

Aspects Critiques et Recommandations pour Aller Plus Loin

  • Utiliser des représentations structurelles : Recherchez ou élaborez des formules semi-développées pour visualiser les cycles et les interactions entre atomes.
  • Appliquer l'indice de déficience en hydrogène : Calculez l’indice pour obtenir des indications sur la présence de cycles. Pour le benzène, par exemple, cet indice est directement lié à sa stabilité aromatique.
  • Explorer des bases de données chimiques : Des ressources et publications spécialisées peuvent fournir des informations précises sur la structure des composés à partir de leur formule brute.

Exemple d’Approche Complète

Imaginons que vous souhaitez déterminer le nombre de benzenoïdes dans un composé donné. La première étape consiste à analyser la formule brute pour connaître la distribution atomique. Ensuite, en appliquant le calcul de l’indice de déficience en hydrogène, vous pouvez identifier la possibilité d’un ou plusieurs cycles insérés dans la structure. La recherche ou la construction d’une formule développée vous révélera effectivement l’arrangement des cycles aromatiques et permettra, entre autres, de distinguer les isomères présents.

Ainsi, même si la formule brute représente une étape fondamentale dans la caractérisation du composé, la confirmation et la quantification des benzenoïdes demandent une analyse plus poussée qui intègre d’autres outils analytiques et des représentations structurales détaillées.


Ressources et Outils de Référence

Pour approfondir vos connaissances sur le sujet et explorer diverses approches dans l’analyse des composés aromatiques et des benzenoïdes, plusieurs sources fiables sont à votre disposition. Ces ressources offrent des explications détaillées, des études de cas et des références complémentaires, aidant à combler le fossé entre la simple formule brute et l’analyse structurale approfondie.

Recours aux Bases de Données et Publications Spécialisées

  • Les bases de données chimiques telles que PubChem ou ChemSpider fournissent des informations structurales complètes, permettant de visualiser directement les cycles aromatiques.
  • Les publications scientifiques et les revues spécialisées en chimie organique expliquent comment utiliser l'indice de déficience en hydrogène pour inférer la présence de cycles aromatiques dans des molécules complexes.
  • Les livres de référence et encyclopédies comme Encyclopædia Universalis offrent des panoramas sur la classification des benzenoïdes et d’autres composés aromatiques.

Tableau Récapitulatif des Méthodes d’Analyse

Méthode Rôle Limite
Formule Brute Détail le nombre total d’atomes de chaque élément (ex. C6H6, C9H12) Ne montre pas l’arrangement spatial ni les cycles aromatiques
Formule Développée Visualise les connexions entre atomes et permet d’identifier les cycles Nécessite une représentation graphique ou schématique complémentaire
Indice de Déficience en Hydrogène Évalue le nombre de cycles/doubles liaisons potentiels Peut être ambigu sans information structurelle détaillée

Références

Recherches Connexes


Last updated March 28, 2025
Ask Ithy AI
Download Article
Delete Article